National Breed Club
Newfoundland

Login:
Password:
Обратите внимание:
Random photo:
Превью фото № 512
Dog1 photo aviableKrim Podkowa
Поддержать проект Ньюфы.ру

Страсти по дисплазии

автор - Е. Александрова
опубликовано в журнале Мир Собак, N 3,4,5-6, 2005г
оригинал статьи: N 3, N 4, N 5-6



От автора. Дисплазия тазобедренного сустава у собак - проблема, которая затрагивает, как минимум, три категории людей.
Это ветеринары (ортопеды, хирурги, генетики, физиологи), занимающиеся выявлением дисплазии, ее диагностикой, лечением, составлением рекомендаций по выращиванию здоровых животных. Учитывая накопленный кинологами опыт, они выдвигают (а затем корректируют!) предположения о причинах возникновения дисплазии.
Это кинологи (разведенцы, заводчики), занимающиеся составлением (с учетом рекомендаций генетиков) и реализацией племенных программ, направленных на уменьшение частоты этого признака в породах собак, составлением и доведением до широких масс собаководов рекомендаций по выращиванию здоровых животных ( и проверкой эффективности этих рекомендаций тоже).
Это сами собаководы, желающие знать, как вырастить здоровую собаку, что надо сделать для установления правильного диагноза, какова вероятность этого заболевания у любимой собаки и что делать, если ей всё-таки поставлен диагноз "дисплазия". Сейчас, когда у нас всë чаще и чаще публикуются материалы по этой проблеме, когда во многих породах кинологи требуют от рядовых собаководов обязательного "снимка на дисплазию", эта тема вызывает всё; больший и больший интерес. Порой покупатель щенка уже по телефону спрашивает: "а как у вас с дисплазией?", хотя, судя по всему, далеко не всегда ясно представляет себе, что же это такое.
Путь, который пройден в исследовании и преодолении этого заболевания за минувшие полвека, путь от "наследственно обусловленного заболевания" до того, что даже было попытались назвать "ошибкой тысячелетия в ветеринарной медицине", это общий путь людей всех этих трех категорий. Без их тесного сотрудничества, без их взаимной помощи, без обмена накопленной информацией, без их взаимной критики никогда не было бы достигнуто в этой области того прогресса, какой мы наблюдаем сейчас во всем мире (там, где занимаются этой проблемой).
Все эти категории людей: ветеринары, кинологи, собаководы, - могут в той или иной степени перекрываться. Я лично отношусь к двум последним. Кинологи всего мира занимаются своими аспектами этой проблемы уже не менее пятидесяти лет, и материал накоплен ими весьма ценный. В этой статье, не касаясь проблем собственно диагностики (это прерогатива специалистов-ветеринаров), я попытаюсь рассказать о дисплазии именно с точки зрения кинологии, а опыт у кинологов, подчеркиваю ещё; раз, накоплен огромный.
Говорят, проблема, имеющая практическое значение, после своего открытия проходит три стадии: интерес учёных-исследователей, интерес широких кругов специалистов-практиков, и, наконец, внимание широкой публики.
Так получается и с дисплазией тазобедренного сустава - ведь это именно её; имеют ввиду собаководы и ветеринары, говоря о дисплазии.

СОРОК ЛЕТ С ДИСПЛАЗИЕЙ - А ВЕДЬ КТО-ТО И ДОЛЬШЕ

(вместо введения)
С ней я впервые встретилась почти сорок лет назад, когда дрожащими от волнения руками раскрыла вынутый из почтового ящика "гэдээровский" журнал "Der Hund" ("Собака" - нем.). Это были времена, когда у нас за исключением рубрики в журнале "Охота и охотничье хозяйство" не было кинологической периодики. Предметом внимания и обсуждения всего собаководческого населения страны становились любые публикации в прессе. Например, снимок служебной собаки с вожатым ко Дню пограничника, и даже просто слово "собака", опубликованное в любом контексте. Это всё бережно вырезалось и складывалось в папочку с тесёмочками - для души и как основа будущих домашних кинологических библиотек. Так что случайно обнаруженный в подписном каталоге целый журнал, посвященный только собакам, воспринимался как нечто непостижимо роскошное: одних фотографий сколько!
Но полученная "сокровищница знаний" принесла и загадку: нечто, обозначенное буквами HD. Эта самая "HD" похоже уже была обсуждена и стала повседневностью в кинологической жизни ГДР. Так что для расшифровки загадочной аббревиатуры мне понадобились старания, сопоставимые почти что с усилиями Шампильона по расшифовке египетских иероглифов. Со временем выяснилось, что HD означает Hueftgelenkdysplasie, то есть получилась Dysplasie тазобедренных суставов (hip dysplasia - англ.). А что такое Dysplasie удалось разузнать только у врачей-специалистов по опорно-двигательному аппарату. Оказалось, дисплазия - это нарушение развития, нарушение формирования.
Тогда, в середине 60-х проблемами дисплазии занимались только "человеческие" врачи, нашим же практическим ветеринарам она была незнакома.
Между тем дисплазия тазобедренных суставов у собак была "открыта" американским врачом Гэри Шнелле еще в 1935 году. Тогда посчитали, что практического значения она не имеет. Но вторая мировая война выставила свои требования и к выносливости, и к другим физическим качествам войсковых собак и показала, что это вовсе не так. После войны в США были проведены многочисленные обследования собачьего "армейского контингента". Результаты вызвали шок. Оказалось, что в США три четверти поголовья основной "служивой" породы, немецких овчарок, страдает дисплазией. За период с 1962 по 1968 годы из американской армии по этой причине была выбракована почти четверть овчарок. Эти цифры потрясли кинологов всего мира. Обследованием собачьего поголовья занялись во многих странах. Процент выбраковки овчарок был близок к пятидесяти, а в странах Скандинавии приближался к 90. В странах соцлагеря дело обстояло далеко не так плохо. Причём, чем ближе к нашей границе, тем лучше: в ГДР - 35,8%, в Польше - 21%. А в самом СССР процент выявленной дисплазии был равен нулю! Как так? - Да, просто потому, что, во-первых, о дисплазии мало кто слышал, во-вторых, потому что рентгеновских аппаратов для животных (а диагноз ставится по рентгеновскому снимку) в стране было - как бы это поделикатнее выpазиться - крайне мало. Вот, к примеру, на Ленинград (если не ошибаюсь, они же "работали" и на Ленобласть) их было два. И, в-третьих, советские собаки "по определению" не могли страдать чуждой нам дисплазией. Хотя, если вспомнить симптомы, то "ой-ой-ой"... Вот мой старый восточник последние несколько лет ходил "на моих руках" - часовой массаж перед сном (по полчаса на каждую заднюю ногу) был обязательной процедурой...
ТАК ЧТО ЖЕ ЭТО ТАКОЕ?
В греческом языке приставка dys означает "отклонение от нормы", а слово plasis - формирование, образование. Получается, дисплазия - это нарушение формирования, а дисплазия тазобедренного сустава (ДТС, или ДТБС) - это нарушение формирования тазобедренного сустава. И выражается, упрощенно говоря, в разболтанности тазобедренного сустава. Чтобы сустав нормально работал, головка бедренной кости должна относительно плотно входить в предназначенную для этого впадину в подвздошной кости таза. Головка бедра имеет шаровидную форму, а впадина, - её ещё называют вертлужной впадиной, - чашеобразную, и она должна охватывать головку бедренной кости как чашка. При дисплазии эта "чашка" может превращаться в широко раскрытую "пиалу" или даже в "блюдце". Понятно, что в такой плоской впадине головке бедренной кости не удержаться, хрящи суставных поверхностей разрушаются. Ясно, что собаке с такими поврежденными суставами трудно не только ходить, бегать и работать, но даже стоять на "дрожащих ножках". Потому-то все и взялись за борьбу с дисплазией.
Но если самые тяжёлые случаи ("блюдце") ещё можно определить, прощупав сустав, то во всех остальных ситуациях поставить диагноз не так-то просто. Вот для этого-то, раз речь идет о костях, и нужен рентгеновский снимок. Причём снимок очень непростой. Ведь надо найти такую проекцию, чтобы были полностью видны и впадина тазовой кости, и головка бедра, и сам сустав "в сборе". Посмотрите на свою собаку и прикиньте, с какой стороны это можно снять. Сверху, сбоку ? - Нет, нечего не увидеть. Долго "крутили, вертели" собаку, пока не нашли несколько позиций для съемки. Но позиции эти неестественны для собаки, и потому, чтобы получить нужный снимок, два человека удерживают собаку в нужном положении, как правило, на спине. Но раз поза эта неестественна, то собака или активно сопротивляется, или просто напряжена. Вид сустава "в сборе" может получиться искаженным и привести к ошибке в диагнозе. Чтобы получить правильный снимок, нужно добиться абсолютного расслабления (релаксации). Для этого съёмку собаки делают или под общей анестезией, или с применением других препаратов-релаксантов.

ДЕЛАЕМ СНИМОК

С гордостью заявляю, что принадлежу к ветеранам-практикам "дисплазийного движения" в нашей стране. По Ленинграду, во всяком случае, мой номер "2".
В 1983 году мы с Татьяной Буровой записали наших собак на DDR-Siegerschau, т.е. на "Всегедеровскую" выставку служебных и рабочих собак. Татьяна - своего ризена Криса ф.Рортайх, а я - "немца" Хероса ф. Андерсхофер Уфер. По правилам выставки для получения оценки "отлично" собака должна была быть свободна от дисплазии. Так что пришлось озаботиться. Делать снимок взялась и сделала всё замечательно грамотно Ольга Миронова, известная ныне как Ольга Сергеевна Миронова, одна из ведущих "кошатниц" страны, а тогда "чернотерьеристка", судья клуба служебного собаководства и врач скорой помощи.
Снимок делали, как это в ту пору было в обычае, ночью "в травме", то есть в травмпункте. Там был "рентген". Надо было договориться заранее с рентгенологом, привезти собаку в назначенный тихий час, тихо сделать снимок и так же тихо исчезнуть. За особую плату можно было даже получить снимок на руки.
Сейчас рентгеновских кабинетов, где можно сделать рентген собаке, у нас в Питере пруд пруди. Но для снимка "на дисплазию" они приспособлены ничуть не лучше той давней человеческой "травмы". То есть никак. (Прошу прощения у тех, кто сюда не относится, но о ком я просто не знаю.)
Дело в том, что снимок, как я уже сказала, не прост. Есть несколько позиций для съёмки. Но самая распространенная -это, когда собака лежит строго на спине, причём не просто на спине, а строго на позвоночнике, и весь позвоночник от шеи до хвоста вытянут в прямую линию, задние ноги чуть повёрнуты коленями вовнутрь, выпрямлены во всех суставах и как можно сильнее оттянуты назад.
Конечно, делаться все это должно "под наркозом", то есть все мышцы собаки должны быть расслаблены. Если делать снимок без релаксации, то в результате Ваша собака, даже если она лежала при съемке спокойно, может схлопотать диагноз "дисплазия". Так что сначала ветврач должен сделать "укол", и не советую экономить на этом.
Как это выглядит на практике? Нужны два человека и одна собака. Собаку укладываем на бок на полу или на столе и переворачиваем на спину. Один человек находится то, что называется "в головах" и держит передние лапы, вытянутые за голову. Второй держит задние. Как именно взяться за лапы, повернуть их и как держать, всегда показывает ветврач. Затем каждый тянет "свои" лапы на себя "со страшной силой". Так, чтобы растянуть собаку и чтобы она лежала на позвоночнике без наклона набок. При этом не забывайте следить за тем, чтобы положение коленей, заданное врачом, не нарушилось. А сам ветврач в это время побежит к пульту рентгеновского аппарата, чтобы "щёлкнуть".
Если у Вас есть собака, попробуйте проделайте это дома. Без наркоза разумеется.
Ну как, получилось? Тогда, значит у Вас ротвейлер или бордосс, причем очень упитанный. У них спина широкая, на ней действительно лежать можно.
А у среднестатистической собаки туловище "в разрезе" - это овал, почти как яйцо. Яйцо же ни на остром, ни на тупом конце не держится - переворачивается на бок. Так и наша собака. Хоть и растягиваем мы её за передние и задние лапы, обмякшее туловище, повинуясь законам физики, так и норовит принять более устойчивое положение, то есть не на остром позвоночнике лежать, а чуть-чуть набок съехать, даже то, что круп все-таки какую-то плоскость имеет, не помогает. Сколько раз так было: вроде старались изо всех, впрочем, довольно слабых, сил, вроде лежала собака именно так, как надо, а на снимок смотришь и ... ужас - всё криво, всё смещено. И рентгенолога винить нельзя - сами собаку держали.
Вот на Западе клиники для таких снимков специальные приспособления имеют. Приспособления эти, впрочем, очень простенькие и представляют собой ванночку, как на весах для взвешивания младенцев, или просто полукруглый желоб на подставочке, чтобы держался горизонтально. Такой любой жестянщик сделает.
А можно все устроить ещё проще. Нужно всего лишь четыре-шесть мешочков (полиэтиленовых пакетов) с обычным песком. Этими пакетами - а они получаются плотные, тяжёлые и легко принимают форму тела, - можно подпереть с обоих боков корпус собаки, тогда он будет устойчивее, да и держать собаку будет легче, и шансы получить снимок без искажений выше. Такие мешочки с песком использовали в ГДР, пока у них не появились специальные приспособления для укладки собак. Способ хороший - и дёшево, и сердито. Я бы посоветовала держать такие мешочки в каком-нибудь дальнем углу тех рентгеновских кабинетов, где делают снимки "на дисплазию". Или, если у Вас есть машина (в руках нести тяжело), приготовьте дома и возьмите их с собой на съёмку. Поверьте - стоит того.
И ещё несколько советов:
- кормить собаку в этот день не надо, а вот выгулять хорошенько перед тем, как делать снимок, нужно (общие правила при применении наркоза);
- учтите, после наркоза добираться домой своим ходом будет трудненько.
На обратном пути очнувшаяся собака может снова заснуть. Так что будет лучше, если Вы заранее позаботитесь о транспорте.
Полученный снимок маркируется, то есть по эмульсии ещё непросохшего снимка пишутся "анкетные данные" собаки - порода, кличка, пол, дата рождения, номер клейма, номер родословной.
Итак, снимок готов. Теперь - каков результат? Что имеем? Поверьте, каждый раз, хоть собаки отлично работают "ножками", жду со всем трепетом - что там? Теперь дело за оценкой.

ДИАГНОЗ - ДИСПЛАЗИЯ?

Хотя дисплазия и влияет на физическую работоспособность собаки, причем в худшую, увы, сторону, все же далеко не всегда удается, посмотрев на движения собаки, даже и предположить наличие у нее этого дефекта. Бывает, что отлично развитая, тренированная мускулатура может скрыть внешние проявления даже тяжелой степени дисплазии. Поэтому диагноз ставится только по рентгеновскому снимку.
Но вот снимок готов. Смотрим на него - и что? - Ага, вот это позвоночник, а вот это, похоже, таз, а вот и бедренная кость, а вот и головка этой кости... и еще какие-то пятна темные и светлые. Вроде все на месте, все нормально.
А вот нормально на самом деле или нет, может сказать только специально подготовленный специалист. С одной стороны, как справедливо заметил один из ведущих специалистов в области генетики собаки М.Б. Уиллис, англичанин, счастливо сочетающий в себе ветеринара-генетика, кинолога и собаковода: "Для того чтобы прочесть снимок, вовсе не нужно учиться пять лет в ветеринарной школе". Но и "не все ветеринары знают, как правильно это сделать".
Конечно, если вертлужная впадина имеет форму блюдца, а вместо округлой головки бедра торчит какой-то огрызок, то сразу видно - дисплазия.
Но дисплазия, как видно из названия, - это неправильно сформированный сустав. И проявлением дисплазии считают не только тяжелые, но и любые отклонения от нормы.

А ЧТО ТАКОЕ НОРМА?

Вопрос этот далеко не так прост, как кажется. На протяжении десятилетий специалисты, проводившие исследования ДТС, дискутировали по всем вопросам, касающимся дисплазии. Почему? Да хотя бы потому, что собаки сильно отличаются по росту, типу сложения, весу. И, как следствие, конфигурация таза у крошечного йоркширского терьера иная, чем у сенбернара.
Этой проблеме была, в частности, посвящена докторская диссертация немецкой исследовательницы Виктории Рихтер. Результаты проведенного ею анализа строения таза у немецких овчарок, боксеров, коккер-спаниелей, карликовых пуделей и такс всех разновидностей (т.е. четыре породы + таксы трех ростовых категорий) наглядно демонстрируют, что по сложению все эти породы отличаются друг от друга не только внешне, но и "изнутри".
Собаки - не мыши и не крысы, а потому как объект массовых лабораторных исследований, к счастью, дороги. (Хотя был факт - на заре изучения проблемы дисплазии американская организация Fidelko, занимающаяся подготовкой собак для службы поводырей слепых и полиции, отдала группу живых собак "на опыты". "Зеленых" на них тогда не было). Так что ученые из-за невозможности проводить детальные исследования еще долго предлагали свои схемы и подходы для выявления ДТС. В конце концов остановились на двух вариантах выполнения рентгеновских снимков (есть еще и 3-й дополнительный вариант), а для установления диагноза по снимку - на шести критериях оценки тазобедренного сустава. Звучат названия этих критериев устрашающе, и читателя запугивать ими не стану, скажу только, что тут несколько углов, определяемых по сложной методике, индексы, характеристики определенных поверхностей сустава.
Времена, когда ветеринар, прищурившись, разглядывал снимок на свет и тут же изрекал диагноз, миновали. Сейчас ветврач-специалист расчерчивает снимок, используя специальный транспортир, определяет величины углов. Пользуясь специальными таблицами, определяет баллы по каждому из критериев. И по сумме баллов, по количеству отклоняющихся от нормы признаков ставит диагноз: степень дисплазии = A, B, C, D или E.
A - это отсутствие дисплазии, B - пограничный случай, подозрение на дисплазию, "почти норма", C - легкая степень дисплазии, в некоторых странах ее называют "еще допускается", D, E - средняя или тяжелая степень дисплазии соответственно.
Тут бы и вздохнуть с облегчением. Наконец-то при постановке диагноза фигурируют точные и вполне объективные параметры. Вот получаем на руки заключение и читаем: угол Норберга равен 105 градусам, индекс внедрения головки равен 1,005, тангенциальный угол равен... Поневоле чувствуешь доверие. Но, в отличие от собаки, расслабляться не надо. Дело в том, что для того чтобы измерить по транспортиру все эти углы и индексы, нужно сначала построить эти углы на рентгеновском снимке. Исходная точка для этого - центр головки бедра. Но шаровидную форму она имеет только чисто теоретически. "По жизни" же форма ее, даже если и округлая, то все же весьма и весьма неправильная. И определить геометрический центр этой порой замысловатой фигуры не так-то просто. Нужно провести оси различных костей таза и бедра, нужно провести прямые, являющиеся продолжениями различных (кривых!) линий контура сустава. Если в определении какой-то точки ошибка, то исказятся и все дальнейшие построения. Поверьте, все это не так-то просто. Тут и нужны и специальная подготовка, и большой опыт, и умение "видеть". Врачу, как и всякому эксперту, оно нужно не меньше, чем художнику. Поэтому вынесение диагноза доверено немногим. В системе РКФ окончательным и официально признаваемым диагнозом считается диагноз, сделанный врачом с соответствующей лицензией, а их у нас в России очень мало. Для получения такого заключения рентгеновский снимок через клуб отсылается в Центральный клуб в Москву, и ответ РКФ с заключением врача владелец собаки получит уже по почте.
Но и самый лучший врач-эксперт может ошибиться, если для оценки получит неправильно сделанный снимок.
Я помню, как еще лет десять назад, разглядывая снимок своей собаки и вспоминая свои скромные институтские познания в черчении и геометрии, я приставала к рентгенологу: "А вот посмотрите, как тут все несимметрично. Это не могло повлиять на диагноз?" Он смотрел на меня, как на дуру. "Нет, не могло".
Увы, могло. Нынешний Интернет полон примерами рентгеновских снимков одной и той же собаки, сделанных в один и тот же день. По одному снимку выходит дисплазия, а по другому - здорова. Или "подозрение на дисплазию" и тут же другой диагноз - легкая или средняя форма дисплазии. Различие этих снимков только в том, как лежит собака при съемке. Грубо говоря, симметрично положение таза и задних конечностей или нет. Такие снимки есть на очень многих сайтах. Одна из лучших статей, посвященных этому вопросу, принадлежит известному американскому кинологу Эду Фраули и называется "Важность правильного позиционирования при выполнении рентгеновских снимков тазобедренного сустава". Русский перевод ее можно найти на сайте www.tornados.stl.ru. Несмотря на страшно звучащее название, статья написана очень просто и доступно, потому что адресована обычным собаководам, то есть нам с вами. Она отлично иллюстрирована и снабжена разъяснениями, как определить, правильно выполнен снимок или нет.
Судя по всему, получение качественного снимка проблема общемировая. Многие исследователи считают, что большинство ошибок при постановке диагноза связано именно с неправильно выполненными укладками собаки. Причем неправильное положение таза при съемке ухудшает диагноз. Эд Фраули пишет, что сейчас у них в США Ветеринарная Ортопедическая Организация (OFA) начала отсылать назад снимки из-за плохого позиционирования. Начали возвращать назад снимки без оценки, но с рекомендацией пересъемки и наши эксперты.
Но и с экспертами дело обстоит не так уж просто. Не только неправильное положение собаки во время съемки, не только съемка "без наркоза", но и ошибка в прочтении снимка - вот одна из серьезнейших проблем диагностики дисплазии. В Институте животноводства и генетики домашних животных Гисенского университета Юстуса Либиха (Германия) подобрали серию рентгеновских снимков, изготовили три комплекта копий этих снимков и разослали трем экспертам высочайшей квалификации.
Результаты еще раз подтвердили, что вынесение диагноза "дисплазия" даже по рентгеновским снимкам, хотя, повторяю, именно этот метод пока что считается наиболее точным, - дело весьма субъективное. Добро бы еще расхождения были на границах оценок: один эксперт говорит - "норма", другой - "пограничный случай", или " легкая степень" - "средняя степень". Но расхождения были и типа: "легкая степень дисплазии" - "свободен от дисплазии". Высокое совпадение было лишь при оценке тяжелой степени дисплазии.
Вообще, все получилось в соответствии с теорией экспертных оценок. Есть и такая: чтобы получить наиболее точную оценку, например, предполагаемый срок выполнения какой-то сложной работы, берут прогноз эксперта-оптимиста, прогноз эксперта-пессимиста. Наиболее реальный срок будет посередине (разумеется, при том условии, что оба эти эксперта были вполне компетентны).
В эксперименте Гисенского университета было похоже: эксперт-пессимист и эксперт-оптимист, и еще умеренный эксперт. У его оценок больше всего совпадений с коллегами. А, кроме того, его диагнозы больше всего "перекликались" с симптомами, которые указали владельцы собак, чьи снимки были представлены для этого эксперимента.
Вот, кажется, и готовое решение проблемы. Тестируем экспертов, выбираем "умеренного" и ...вперед. Но не тут-то было. И у "умеренного" эксперта некоторые оценки были оптимистичнее, чем у "оптимиста", а какие-то - негативнее, чем у "пессимиста".
О чем это говорит? В первую очередь о том, что, когда речь идет о дисплазии, все не просто и все не однозначно.
Но дальше - еще сложнее.

ОТКУДА ОНА БЕРЁТСЯ?

Вообще-то, дисплазия тазобедренного сустава - не только собачья проблема. Она встречается у людей, собак, кошек, лошадей. Утверждают, что дисплазия была обнаружена даже у волка.
Если у человека это заболевание врожденное, то есть регистрируется уже с момента рождения, то для собак считается, что все щенки рождаются здоровыми, и лишь потом проявляется эта "гадость". В чем же дело?
Поначалу, конечно же, посчитали, что заболевание наследственное. Но, чем больше накапливалась данных, чем дольше занимались изучением проблемы, тем радикальнее менялись взгляды.
С одной стороны, с самого начала можно было говорить о четкой предрасположенности пород.
Лайки, шпицы, многие терьеры, доберманы в этом отношении весьма благополучны. У борзых собак дисплазия встречается вообще очень редко. А у крупных и тяжелых пород, например, у сенбернаров, ньюфаундлендов и у большинства догообразных собак, наоборот, часто.
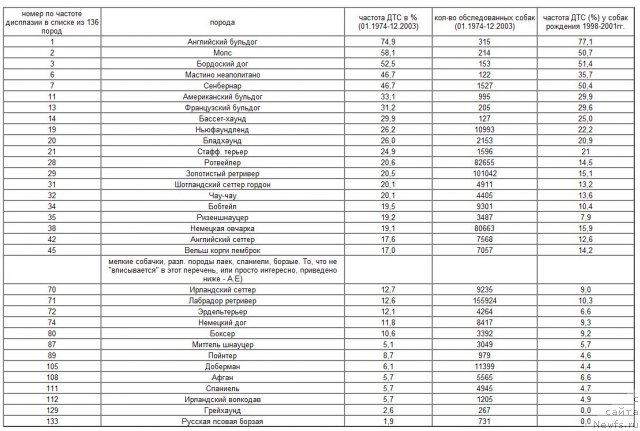
Я попробую проиллюстрировать это статистическими данными американской Orthopedic Foundation for Animals (OFA). В предыдущем разделе я назвала ее Ветеринарной ортопедической организацией - пожалуй, это не совсем точно. Где-то ее назвали Ортопедическим фондом животных, в другом месте - Ортопедическим фондом защиты животных. Но независимо от тонкостей перевода аббревиатура OFA хорошо известна в мире тех, кого волнуют проблемы дисплазии тазобедренного сустава собак. Собственно говоря, OFA сейчас помимо ДТС занимается и другими проблемами. В частности, дисплазией локтевого сустава и т.п. Но при основании в 1966 году инициаторы ее создания, в числе которых помимо ветеринаров были американские клубы золотистых ретриверов и немецких овчарок, считали основной задачей исследование именно ДТС.
Каждый рентгеновский снимок, присланный в OFA, оценивают независимо друг от друга три эксперта. Если их оценки расходятся, то на совместном консилиуме они ставят окончательный диагноз. Причем при диагностике учитываются и особенности строения таза для каждой породы, и возраст собаки. Если все нормально, то владелец собаки получает на руки сертификат OFA. Если состояние сустава пограничное или невозможно прийти к единому мнению, то тогда просят сделать еще один снимок через несколько месяцев. Ну, а если же обнаружена дисплазия, то информация об этом считается конфиденциальной и нигде не публикуется. Диагноз знают лишь владелец и OFA.
Возможностям американцев можно только позавидовать. Ведь организация эта некоммерческая, и даже ее название (Foundation) указывает, что она существует на средства благотворительного фонда.
В результате накоплены очень точные данные по поголовью собак разных пород одной и той же страны, причем за одни и те же периоды. Диагностика проводилась для всех пород одними и теми же экспертами. А, значит, к собакам всех пород, даже с учетом их особенностей, подходили с одним и тем же уровнем строгости. И потому сопоставление этих данных вполне корректно. Численность пород различна, да и далеко не все породные клубы США требуют от своих членов получения на собак сертификата OFA. Но есть список из 136 пород, по каждой из которых за последние 30 лет, с января 1974 по декабрь 2003 года, было обследовано не менее, чем по 100 собак.
Процент собак, страдающих дисплазией, очень хорошо иллюстрирует предрасположенность пород к этому заболеванию.
Вот некоторые данные из этого списка. В первую очередь, по породам, представляющим интерес для наших собаководов (данные с официального сайта OFA - www.offa.org). В последнем столбце добавлены сведения по собакам, рожденным в 1998-2001 годах, а, значит, характеризующие современное состояние этих пород в США.
Замыкают перечень из 136 пород немецкий пинчер и австралийский терьер с процентом дисплазии -1,4, но у "свежих" австралийских терьеров, то есть рожденных в 1998-2001 годах, - 5,9%, а у немецких пинчеров - 0,0%.
Если посмотреть динамику изменения процента дисплазии по годам, то нельзя не удивиться одному моменту. В породах, где борьба с дисплазией началась давно, еще в 60-70-х годах, прогресс шел постепенно. А вот во многих породах, лишь относительно недавно присоединившихся к этому движению, улучшение было достигнуто очень быстро, почти скачком. В чем дело? - Мы еще вернемся к этому вопросу.
В каждой стране свое поголовье собак. А в каждой популяции свои собственные проблемы и, в частности, свой процент дисплазии. В зависимости от типа собак, от племенной политики кинологических клубов и условий содержания собак мы наблюдаем разную динамику изменения частоты дисплазии.
Но общие тенденции соотношений между породами сохраняются для собак, живущих в разных странах.
Казалось бы, все ясно: небольшие, предназначенные для активного движения породы более здоровы. Крупные и тяжелые, напротив, относятся к группе риска. Но тут полным-полно исключений. Например, у немецких догов, хотя это очень крупные собаки, дисплазия встречается гораздо реже, чем у других догообразных собак. А у маленьких мопсов процент "зашкаливает".
То есть все не так уж просто. Если уж говорить о предрасположенности пород, то я хочу обратить внимание на момент, мимо которого почему-то проходят исследователи этого вопроса, - на формат собак. Если проанализировать накопленную статистику по частоте дисплазии у различных пород собак, то легко увидеть, что у растянутых пород собак, то есть с удлиненным корпусом, дисплазия встречается гораздо чаще, чем у пород квадратного формата. И работа Виктории Рихтер (помните - анализ строения таза у различных пород) подтверждает эту тенденцию: чем ближе формат собаки к квадрату, тем "идеальнее" типичный для этой породы сустав, то есть тем он ближе к построенной с помощью циркуля и линейки схеме идеального сустава.
А тазобедренные суставы собак растянутого формата испытывают большую нагрузку (законы биомеханики!), чем суставы квадратных собак.
Классические примеры растянутых собак - таксы, скотч-терьеры, бассеты, золотистые ретриверы и, конечно, немецкие овчарки.
ТАК ПОЧЕМУ ВСЕ ГОВОРЯТ О НЕМЕЦКОЙ ОВЧАРКЕ?
"Дисплазийное движение" началось с немецких овчарок, и каждая работа, посвященная дисплазии, рассказывает об "ужасах" начального периода. И упоминается при этом исключительно немецкая овчарка. Но статистика вполне объективно говорит нам иное. И потому проблема дисплазии именно у немецкой овчарки - это не то, что отдельно волнует современных генетиков. Для них немецкая овчарка по дисплазии порода умеренной благополучности, и состояние ее в этом отношении хоть и не идеально, но гораздо лучше, чем у многих. Но это самая многочисленная служебная порода, очень широко используется в работе, а овчарочьи клубы относятся к разведению здоровых собак весьма ответственно и потому требуют обязательной проверки племенных животных на ДТС. И потому она наряду с лабрадором-ретривером относится к числу наиболее обследованных пород, и в мире накоплен наибольший фактический материал именно по ней. Для иследователей в области дисплазии она, по-моему, стала выполнять роль лабораторной мыши. То есть любимый объект для анализа - море официально опубликованных данных по всем странам и годам всегда под рукой. А дилетантам, порой, кажется, что раз упоминают о немецкой овчарке, значит только она и подвержена дисплазии.

Таблица 1.

Фотография № 53598

Современный тип немецких овчарок начал формироваться в ФРГ с середины 70-х годов прошлого века. От старотипных они отличаются очень упругой линией верха и очень выраженными углами задних конечностей. Это не только формирует выразительный красивый облик собаки, но и обеспечивает одновременно выносливость и мощные эффективные, а потому очень красивые движения на рыси и галопе.
Многих собратьев-собачников это, что греха таить, раздражает. Порой даже нам, овчаристам, приводят в качестве назидательного примера "благополучия" конечности очень на самом деле неблагополучных пород. Думаю, что по всей стране многие овчаристы гаденько ухмыльнутся, посмотрев на некоторые строчки в начале таблицы 1.
Проводились исследования и опыты в попытке выяснить, не влияет ли строение конечностей у современных немецких овчарок на частоту дисплазии. И фактов, подтверждающих связь такого сложения и дисплазии, не обнаружено. Малькольм Б.Уиллис, английский генетик, о котором я уже упоминала, пишет: "Продолжение этой работы, возможно, покажет, что ее (этой связи -А.Е.) просто нет. Многие заводчики (не немецких овчарок) часто голословно заявляют, что дисплазия тазобедренного сустава возникает при хорошо выраженных углах сочленений задних конечностей. Но это заявление пока не нашло подтверждения."
В дополнение к этому скажу, что когда в 50-х, 60- и 70-х годах у немецких овчарок наблюдалась высокая частота дисплазии, и огромное количество их выбраковывалось из армии и из разведения, задние конечности их были совершенно другого строения, то есть такие же, как у нынешних восточно-европейских овчарок и вообще у большинства пород, то есть, со слабо и средне выраженными углами. И если проанализировать динамику частоты дисплазии и выраженности углов задних конечностей у немецких овчарок, то обнаружится, что выраженность углов возрастала, а процент дисплазии падал. Поверхностный исследователь может даже сделать вывод, что, чем выраженнее углы, тем дисплазии меньше. Тем более, что у большинства неблагополучных по дисплазии пород задние ножки - "подпорочки", то есть с совершенно выпрямленными углами. И еще длинные "провисшие" корпуса.
А если рассмотреть повнимательнее группу квадратных собак, то увидим, что, как ни странно, одни из наилучших показателей у очень крупных собак - у борзых. Чем характерны эти собаки? У них очень мощная мускулатура задних конечностей и еще очень выпуклые поясницы. Обычно собак с такими поясницами в обиходе называют "горбатыми". Но сильно выпуклая поясница, как упругая пружина, как хороший амортизатор, гасит, берет на себя часть нагрузки задних конечностей. Наверное, не случайно, что одна из самых крупных и тяжелых борзых собак, русская псовая борзая (давайте погордимся!) имеет по статистике OFA один из самых низких процентов дисплазии и на "нулевую отметку" она вышла даже раньше знаменитых грейхаундов. Может быть сыграла в этом свою роль и знаменитая выпуклая линия верха русской псовой, где роль упругой пружины играет комплекс "спина+поясница".
Так что, может быть, как раз упругая спина нынешних "немцев" и поспособствовала уменьшению нагрузки на тазобедренные суставы. И, может быть, как раз селекция по здоровым суставам, а не только мода, способствовала формированию современного силуэта породы. Именно упругая спина с великолепно развитым связочным аппаратом, позволяет "немцам" иметь такие выраженные углы задних конечностей. Ведь немецкая овчарка относится к числу пород растянутого формата, то есть с удлиненным корпусом, а значит с повышенной нагрузкой на тазобедренный сустав. И, несмотря на растянутый формат рысака, она прогрессирует в плане избавления от дисплазии.
Конечно, можно разглядывать собаку со всех сторон и пытаться строить догадки, как те или иные пропорции и стати экстерьера влияют на развитие дисплазии. Такие попытки уже были, но за исключением нападок на задние конечности немецких овчарок, по-моему, этим никто особо не занимался.
По секрету признаюсь: я и сама люблю или, скажем так, считаю благоприятным, когда у овчарёнка-подростка углы задних конечностей не так хорошо выражены, как у взрослых овчарок. Овчарист даже назовет такие углы выпрямленными, хотя на самом деле конечности, с этими любимыми мной углами, напоминают скорее конечности того же грейхаунда. Внешностью такой овчарёнок на звезду породы явно не тянет. И в зависимости от углов передних конечностей выглядит прямоверхим, "горбатым" (то есть с перенапряженной линией верха), а иногда даже и высокозадым. Но проходит время, окончательно формируются суставы и мускулатура, крепнут связки, заполняется и нагружается корпус, - овчарка проседает и "спереди", и "сзади". Теперь оснащенные мощным связочным аппаратом и мускулатурой пружина-спина и пружины-задние конечности обеспечивают овчарке и выносливость, и быстроту.
Мой личный опыт подсказывает, что именно такой режим роста благоприятен для формирования здоровых суставов у немецкой овчарки. Но, как говорят исследователи, "число наблюдений слишком мало".
Вероятно, и другие кинологи могут высказать взгляды на благоприятные для своих пород тенденции роста.
Тем более, что именно режим роста (темпы роста и вес) является чуть ли не единственным фактором, влияющим на развитие дисплазии, значение которого признается всеми исследователями. Большой вес и быстрый рост, то есть быстрый набор веса, дают повышенную нагрузку на растущий, ещё неокрепший сустав и, увы, нарушают его, то есть сустава, нормальное формирование. Поэтому крупные и тяжелые породы так подвержены дисплазии.
Но что значит "тяжёлые" и что такое "большой" вес?
Одни исследователи утверждают, что дисплазия редко встречается у собак весом меньше 18 килограммов, другие не поднимают нижнюю планку выше 12 кг. Но тут, как мы уже видели, полным-полно исключений: среди лидеров по частоте дисплазии достаточно совсем маленьких собачек, а среди счастливых аутсайдеров этого грустного списка хватает "тяжеловесов".
Но если попробовать разделить породы на легких и тяжёлых не по абсолютному, а по условному весу, этакому аналогу классического удельного веса? Определим вес на единицу роста. - Господа студенты, ветеринары и биологи! Вот вам тема для курсовой работы. Можно просчитать этот показатель (нужны монографии или хорошие справочники по породам), посмотреть, как частота дисплазии коррелирует:
- с этим условным весом,
- с форматом собак (индекс растянутости).
Интересно было бы взгянуть на связь частоты дисплазии:
- с прочностью линии верха (спина+поясница). Это смотрим не по формулировке стандарта (мало в каком стандарте вы найдете формулировку "спина мягкая" или "провисшая", везде она исключительно "прочная, прямая"), а по жизни,
- с выраженностью или выпрямленностью углов задних конечностей (тоже по жизни), приняв за точку отсчета конечности какой-нибудь умеренной по росту и сложению, стабильной по анатомии корпуса и конечностей и благополучной по дисплазии породы. Эрдель-терьера, например.
Но восприятие двух последних характеристик, конечно, очень субъективно. Это вам не вес собаки, который независимо от того, в чём он измерен, в килограммах или же в "килограммосантиметрах", показатель объективный, а потому вес собаки и скорость его набора - факторы, признанные всеми.
Исследованием влияния и повышенной, и, наоборот, ограниченной нагрузки во время роста, а, попросту говоря, условий выращивания щенка на развитие у него дисплазии занимались много. Мы ещё, обещаю, вернёмся к детальному рассмотрению сделанных выводов и посмотрим, что же можно сделать для того, чтобы вырастить по возможности здоровую собаку. А пока оглянемся назад.
С начала детальных исследований прошло полвека. Насколько же далеко удалось продвинуться за это время? Что можно ответить на короткий и простой вопрос - в чём причина дисплазии?
Однозначно можно сказать лишь, что:
- нет породы собак, у которой бы не были обнаружены случаи дисплазии;
- есть породы, у которых она встречается чаще, и есть те, у которых она редка. То есть налицо то, о чем мы с вами уже говорили, - предрасположенность пород;
- на развитие дисплазии влияют темпы роста собаки и вес (причем, чем быстрее и больше, тем хуже).
Как ни грустно, но приходится признать, что это то немногое, что на сегодняшний день не подвергается сомнению.
И это всё? Выходит, пятьдесят лет учёный мир бездействовал и лишь накапливал статистику?
Отнюдь.
Закономерностям проявления дисплазии посвящено много сотен, если не тысяч работ, от статей до докторских диссертаций весьма серьёзных исследователей и целых научных коллективов. Порой они дополняли друг друга, чаще опровергали и критиковали. Пытались выявить закономерности. Искали причины в гормональном фоне, в возможностях усвоения организмом белка, кальция, в темпах роста, в витаминном балансе, в темпераменте, в условиях выращивания, в воспалительных процессах в организме, даже в плановой вакцинации от обычных собачьих болезней... Список этот можно продолжать очень долго.
У меня даже был соблазн составить таблицу с "шапкой":

Фотография № 53599

Но против каждого фактора пришлось бы ставить "галку" во всех трёх графах, потому что у разных исследователей на каждое "да" находилось свое "нет" или "?".
Вот, скажем, известно, что женские половые гормоны эстрогены подавляют рост хрящевых клеток (хондроцитов). Инъекциями эстрогенов вызывали дисплазию даже у грейхаундов, хотя обычно их суставы весьма благополучны. Но по данным другого исследователя гормональный фон у немецких овчарок с тяжёлой дисплазией был (если учитывать мнение предыдущего экспериментатора) даже более благоприятным, чем у здоровых "немок" да и грейхаундов тоже. А если признавать воздействие эстрогенов, то к тому же ещё встает и вопрос: а встречается ли в жизни дисплазия у сук чаще, чем у кобелей? - Опять: "да+нет+?".
Пытались выяснить, который из дисплазийных родителей больше "повинен" в передаче её потомству. Отец? Мать? - Опять: "да+нет+?".
В чём же дело? - Увы, не только мировые светила, но даже я этого не знаю. Хотя не секрет: чем меньше знаешь, тем легче придумать ответ на любой вопрос.
Может быть, так трудно найти причины из-за того, что собаки - простите за банальность - такие разные. Что общего у сенбернара и йоркширского терьера? - "Четыре лапы, голова и хвост". А всё остальное у каждой породы свое: рост, вес, скорость роста, обмен веществ, темперамент, сложение, предрасположенности к заболеваниям, окрас...
А, кстати, вот возьмем такой простой признак, как окрас. Чёрный окрас, к примеру, зачастую определяется совершенно разными генами. У одних пород он доминантен, у других рецессивен. А внешне это все тот же чёрный окрас.
А другие внешние различия? - Что стоит за ними? Те же сенбернар и йорк отличаются друг от друга гораздо сильнее, чем, скажем, лошади тяжеловозных пород от скаковых. Но известно же, что тяжеловозы не просто крупнее, мощнее и тяжелее скакунов, они отличаются от них даже структурой костной ткани. У тяжеловозов структура трубчатой кости конечностей крупноячеистая, а у скаковой лошади - мелкоячеистая и очень плотная. Конечно же, всë определяется разными наборами генов. И воздействие на них и внешней среды, и других генов, определяющих гормональный фон, темперамент и т.д. и т.п. (см. выше), наверняка, вызовет разный эффект.
Собаки, как это ни странно звучит, вид, всё же изученный явно недостаточно. Лишь сравнительно недавно стали обращать внимание на особенности анатомии и физиологии разных пород собак.
Так что причина всей этой неоднозначности, а порой и явной противоречивости результатов проведенных исследований, может, и в том, что в сходных экспериментах изучалось воздействие факторов на собак с совершенно разными геномами? Сенбернар, немецкая овчарка и левретка - это явно не то, что "чистые" линии лабораторных мышей. У каждой породы свои особенности анатомии и физиологии, в частности они и созревают по-разному. У каждой к своему сроку заканчивают формироваться суставы, ...а вместе с ними, если уж на роду написано, то и дисплазия.
Результаты многих работ подвергаются оппонентами сомнению по двум причинам: "статистически слишком малое число наблюдений" и "слишком ранная проверка на дисплазию не позволяет сделать окончательные достоверные выводы о воздействии исследуемого фактора".
Так когда же нужно проверять сустав и ставить диагноз?
Вспомним: все щенки рождаются со здоровыми суставами, и лишь с возрастом развиваются отклонения от нормы.
К определению оптимальных сроков диагностики, как и во всем, что касается дисплазии, пришли далеко не сразу.
Сейчас в системе FCI считается, что у собак мелких и средних пород (а таких большинство) сустав формируется к 12 месяцам. К 18 месяцам - у тяжёлых, крупных собак, таких как бульмастиф, бордоский дог, немецкий дог, мастиф, мастино неаполитано, ньюфаундленд, сенбернар, восточно-европейская овчарка, пастушьи догообразные собаки - кавказская, среднеазиатская овчарки и др.
Если все щенки рождаются со здоровыми суставами, а дисплазия развивается во время роста, да и дальнейшая жизнь, так же как и у людей, явно не красит суставы, то получается, что владельцу собаки, породный клуб которой требует обязательной "справки" о проверке на дисплазию, надо бежать делать рентгеновский снимок, как только ей исполнились заветные 12 или 18 месяцев. - Пока суставы "не сносились". Но вот вспоминается интересный момент в разговоре с одним немецким заводчиком немецких же овчарок. "Да, я делаю рентген своим собакам после года, - сказал он. - Но, если собака крупная или костистая, то только после полутора лет. Тогда результаты хорошие".
Выводы делайте сами. Каждому кинологу известно, что не только голова, но и круп у той же немецкой овчарки, как и других крупных собак, продолжает не только раздаваться, но и даже расти в длину ещё лет до двух с половиной. Круп не просто линейно увеличивается в размерах, но меняется и его конфигурация. Может быть, именно поэтому OFA окончательный диагноз выносит только в два года.
Но всегда ли при созревании организма происходит ухудшение состояния суставов? С какого момента жизнь начинает вносить свои коррективы? Когда начинает изнашиваться сустав? Конечно, все индивидуально. Считается, что чем в более позднем возрасте тазобедренные суставы собаки признаны здоровыми, тем выше ценность этой собаки.
Вот недавно дворовый кобель-"немец" моей приятельницы имел нечаянное (для владельцев) счастье стать супругом одной из лучших сук в породе. Пришлось "дотягивать" 6-летнего казанову до племенного уровня: вспомнили, что где-то была родословная (к слову сказать, блестящая), быстренько сдали испытания на дрессировку, благо сама дрессировка всё-таки уже была, сбегали на выставку, на рентген и на кёрунг. Выставка - "с горем пополам": без тренинга, но всё-таки "оч. хор.", остальное - с блеском. Даже дисплазия - норма. А американские эксперты считают, что если у шестилетней собаки сустав признан здоровым, то это сустав "высшего качества".
Хотя обычно верхней возрастной границы не существует, но всё же в некоторых программах по проверке на дисплазию возраст в 6 лет считается максимальным для установления достоверного диагноза. Дело в том, что признаётся, что "после шести лет практически все собаки страдают артритом и другими дегенеративными заболеваниями".
Хорошо, с максимальным возрастом всё ясно. В конце концов, суставы и у нас, людей, к старости тоже не здоровеют. Но что же это выходит? До двух лет ещё непонятно, разовьется ли дисплазия, а после шести - уже непонятно, а была ли она. Что это за напасть такая? Выходит всего четыре года жизни существует определённость - есть дисплазия или же нет. А вне этого интервала собаки, похоже, прекрасно существуют и без нашего диагноза.
Ну, хорошо, пусть от одного года до шести лет. - Всё равно маловато будет.
А всё-таки, обязательно ли ждать до года, а тем более до двух? А нельзя ли как-нибудь пораньше определить здоровье суставов? Этот вопрос волнует и покупателей щенков, и заводчиков.
В одной из работ наших весьма уважаемых специалистов встретились следующие строки: "Диагноз дисплазии ТБС на основании клинико-рентгенологического исследования может быть поставлен уже в возрасте 4-6 мес. Однако он не может служить указанием к оценке племенной пригодности животного". То есть он не является достоверным и окончательным. - А для чего же тогда он нужен? Если как предупреждение, чтобы быть осторожным и особенно внимательным при дозировании нагрузок, для большего внимания при составлении рациона - один разговор, если для предъявления претензий к заводчику - другой (см.выше - "диагноз не может считаться окончательным и достоверным"). Хотя, конечно, диагноз диагнозу рознь: вряд ли удастся дотянуть до нормы сустав с абсолютно плоской впадиной, обнаруженный у полугодовалого щенка. Равно как и другую крайность - "закрытый" сустав. Бывает и такой. Хоть дисплазия обычно проявляется в разболтанности сустава, лет десять назад мне довелось встретить полугодовалого сеттера-ирландца, который едва переставлял совершенно "деревянные" задние ножки. Владельцы показали его рентгеновский снимок: головка кости была совершенно нормальной, но вертлужная впадина представляла собой - нет, не "блюдце" и не чашку, как у нормального сустава, а почти замкнутую сферу. Эта сфера почти полностью охватывала головку бедренной кости и имела только узенький выход для шейки бедра. Этот-то узкий выход и ограничивал свободу движения бедренной кости собаки. - А ведь это тоже дисплазия - "нарушение формирования сустава".
Но всё-таки можно ли найти способ, чтобы и точнее и раньше - ещё до продажи-покупки щенка определить, вырастет он со здоровыми суставами или нет?
Сейчас признается, что болезненные явления и заметное ограничение работоспособности в суставе возникают лишь при средней и тяжелой формах дисплазии. Отличие сустава с легкой формой или с подозрением на дисплазию от идеального сустава можно сравнить с отличием здоровья среднего представителя рода человеческого от здоровья кандидата в отряд космонавтов.
Но если вам нужен чемпион по работе, если у вас высокие требования к будущей племенной собаке, то прежде чем выкладывать за перспективного щенка серьёзные деньги, хотелось бы всё-таки определиться и с перспективами в отношении суставов.
Время от времени проходит очередной сенсационный слух: разработан новый метод ранней диагностики дисплазии.
Появились было сообщения, что пальпацией, то есть прощупыванием, можно определить начальные нарушения в тазобедренном суставе щенка уже в двухмесячном возрасте. Но более подробные исследования показали, что ошибка диагностики по этому методу даже в руках опытных исследователей составляет 25-30% и в ту, и в другую сторону. В руках рядовых ветеринаров погрешность, вероятно, была бы ещё большей. "Скорее искусство, чем наука", - так кто-то охарактеризовал этот метод.
Стремление превратить диагностику в науку и избавить её от субъективности экспертов вызвало разработку новых методов диагностики. Внедрить один из них в США, к примеру, позволило полное переоборудование рентгеновских кабинетов. Рентгеновский снимок с помощью видеокамеры переписывается в память компьютера, обрабатывается. На экране монитора на технически улучшенном изображении щелчком "мыши" помечаются опорные точки для измерений и расчетов, и компьютерная программа проводит расчёты.
Но кому верить, если диагнозы компьютера и экспертов расходятся? С одной стороны, мы привыкли считать результаты расчётов компьютера точными, но компьютер всего лишь производит расчеты по программе, написанной человеком. Если человек при составлении программы не учел какие-то факторы, то и компьютер сделает лишь то, что ему предписал человек. И уж конечно, не сможет учесть сочетание каких-то вторичных и качественных признаков, на которые обратит внимание эксперт. Пока что считается, что методы компьютерных измерений ещё не могут заменить собой экспертную оценку. Но кто знает, что будет дальше?
Независимо от того, какой метод диагностики используется, вынесение диагноза с самого начала было и поныне остается, естественно, прерогативой ветеринаров. Специалисту, оценивающему присланный ему снимок, вообще-то безразлично, чем вызвана дисплазия: инфекцией, ошибками кормления, тренинга, травмой или же наследственностью. У него другая задача. А вот кинологов и заводчиков интересует в первую очередь роль наследственности в возникновении дисплазии и то, как селекцией можно улучшить состояние породы.
Если уж первопричина возникновения болезни так и остается неизвестной и до сих пор непонятно, какой же фактор во цвете лет запускает механизм повреждения сустава, то, может быть, ситуацию сможет прояснить то, как она передаëтся по наследству. Так "откуда же она берётся"?
Сначала, как мы уже говорили, посчитали, что заболевание это наследственное. Технология определения была предельно проста и до боли знакома: разложили родословные немецких овчарок с выявленной дисплазией (напомню, это были 50-е годы и начало исследований) и, конечно же, обнаружили у них всех общего предка. Но найдите мне группу собак, в родословных которых не найдется хоть одного общего предка. В конце концов, и мы все произошли от Адама и Евы. Итак, общий предок был найден, объявлен носителем "вредного гена", а тип его передачи потомству - простым рецессивным. Затем - простым рецессивным с неполным проявлением (пенетрантностью). Другие исследователи, наоборот, заявляли, что это доминантный признак, правда, проявление его зависит и от внешней среды, и от влияния других генов, т.е. с нерегулярной экспрессией.
Эта диаметральная противоположность первых же взглядов на механизм наследования дисплазии (рецессивный-доминантный) мне представляется прямо-таки знаковой для всего изучения этого заболевания.
Но признание довольно простого механизма наследования (вот только какого?) все же означало, что вести селекцию по этому признаку хоть и не совсем просто, но можно. Однако не вышло. Дисплазия оказалась "живучей". Практика и разведения, и эксперимента показала, что с налету её не одолеть. Пришлось признать, что наследование её полигенное, то есть определяется случайным сочетанием многих генов. Вот тут и взялись за более детальный анализ, тем более, что дисплазию к тому времени обнаружили не только у немецкой овчарки, но и у других пород.
В середине 60-х стали признавать, что "некоторую роль играют и условия внешней среды, в частности, выращивания".
После этого пошёл неуклонный процесс изменения соотношения "наследственность-внешняя среда" в пользу последней. Наследуемость (грубо говоря, роль наследственных факторов) постепенно опускали - 60% - 40-45% - 30% - 25 - 20% ... Цифры колебались в зависимости от обследуемой популяции, от страны и породы.
Можно было бы упрекнуть учёных в сделанной ими грубой переоценке роли наследственных факторов, но это было бы некорректно. Первые гипотезы - не в счёт. А затем параллельно с исследованиями в борьбу с дисплазией включились и кинологи. И уменьшение процента наследуемости шло рука об руку с "чисткой" многих пород от дисплазии. Теперь согласно экспертной оценке наследуемость дисплазии тазобедренного сустава в очень неблагополучных породах колеблется между 20 и 40 %, а в отселекционированных по этому заболеванию - между 10 и 25%. Как же удалось этого добиться?

СЕЛЕКЦИОННЫЕ ПРОГРАММЫ

Если у кого-то создалось впечатление, что в начале "дисплазийной" эры потрясенные кинологи всего мира дружно поднялись на борьбу с новоявленной проблемой, то он глубоко ошибается. Быстро среагировали лишь организации-потребители, то есть те, кто закупал и выращивал собак для рабочего использования, и то кое-где: армии в США и Швеции, различные школы по подготовке собак-поводырей слепых. Статистические исследования показывают нам, какие же породы до сих пор больше всего использовались людьми. Это немецкие овчарки, лабрадоры-ретриверы, золотистые ретриверы и ротвейлеры.
Кинологическая общественность раскачивалась довольно долго. Особенно в Европе. Даже в "главном" овчарочьем обществе мира, в немецком Шеферхундферайне, как сейчас кое-кто вспоминает, некоторые ведущие функционеры долго сопротивлялись введению проверок на дисплазию, называя ее "американской болезнью", свойственной лишь собакам США. Это понятно - введение нового критерия по выбраковке племенных животных затрагивало интересы, в первую очередь, их хозяев: заводчиков и владельцев племенных кобелей. Так что поначалу внедрение антидисплазийных технологий в собаководческих организациях продвигалось усилиями энтузиастов.
В основном преобладало два подхода.
Один из них, совершенно радикальный, можно проиллюстрировать на примере голландских ротвейлеристов. Помните в "Золотом ключике" - "пациент либо жив, либо мертв". Так и тут: сустав признавался либо здоровым, либо "дисплазийным". Собаки с дисплазийными суставами из разведения безжалостно выбраковывались. "Сколько ценных племенных животных мы потеряли", - до сих пор сокрушаются голландские кинологи. Но могло быть еще хуже: ведь были предложения выбраковывать не только больных животных, но и всех их ближайших родичей - родителей и однопометников.
Многим этот подход казался единственно верным, ведь дисплазия считалась тогда наследственным заболеванием. Но если бы этот радикальный метод лечения головной боли посредством отрубания головы был взят на вооружение во всем мире, то сейчас, по оценке Малькольма Уиллиса, мы не досчитались бы очень многих пород.
К счастью, у собаководческих организаций находились и более либеральные советники. Там, где выбрали второй путь и взяли на себя труд разработать долгосрочные программы борьбы с дисплазией, сейчас не сокрушаются горько, подсчитывая "штабеля наломанных дров". В кинологических союзах многих стран подумали о стратегии, о последствиях принимаемых мер, об интересах и породы в целом, и владельцев отдельных собак. Там начали с организации единого центра диагностики. "Организация" - это только звучит впечатляюще, а на практике это всего лишь означало договоренность с одним из ведущих в стране специалистов-дисплазийщиков об оценке присылаемых ему со всей страны рентгеновских снимков. Договоренность эта могла касаться оценки как собак какой-то одной породы, так и всех собак национального кинологического союза. Главное - обеспечение грамотной оценки, без личных контактов (все мы люди!) с владельцами собак и, что самое важное, единый, а значит сопоставимый подход к оценке суставов для всех собак каждой породы.
Вообще-то для селекционной работы среди, скажем, тех же немецких овчарок не так уж важно знать уровень распростанения дисплазии у сенбернаров и левреток - разве что для того, чтобы отбиваться от несправедливых нападок. Хотя выявленные закономерности среди других пород могут подсказать пути работы и с собственной породой. Например, отказ от излишне тяжёлых животных. Но и отбор по состоянию суставов тоже может сказаться на формировании облика здорового животного, а для этого все заключения по породе должны быть сопоставимыми, то есть выйти из одних рук.
Следующими шагами стали "агитация и пропаганда". Сначала владельцев собак просто призывали делать собакам рентгеновские снимки, а затем перешли к мягкому давлению: наличие проверки на дисплазию объявлялось обязательным для племенных собак. Но только проверки - независимо от её результата мер никаких не принимали. То есть, попросту говоря, проводилось обследование состояния породы. В некоторых странах на этом и остановились. Диагноз требуется, и он обязателен даже для участия в выставках. Но ограничений на племенное использование нет никаких: информация для заводчиков открыта, а уж их дело решать, каких животных они станут использовать и получать в своем питомнике. К слову сказать, открытость результатов проверки, в отличие от OFA, вообще характерна для европейских систем.
Но обычно после анализа текущего состояния переходили к разработке и внедрению селекционных программ. Из разведения исключались собаки, рожденные после такого-то года, с тяжелой, а потом и со средней дисплазией. Или же требовалось, чтобы при подборе пар один из производителей имел здоровые суставы. Эти подходы могли быть разными, зависели и от результатов анализа проблемы в породе, и от численности породы. Ведь там, где племенная база мала или же велико число дисплазийных животных, сплошная выбраковка могла поставить породу на грань исчезновения.
В конце концов, как заметил Зигмунд Шлаф, профессор Берлинского университета и главный диагност по дисплазии бывшей ГДР, здоровые суставы - это не единственное, ради чего мы разводим собак.
Были породы, у которых проверка выявила редкостное благополучие или же это благополучие было достигнуто очень быстро. В ГДР для таких "счастливчиков" проводились лишь выборочные проверки. Время от времени под облаву попадали собаки определенных годов рождения. Или же жертвы для проверки назначались методом случайной выборки из числа собак определенного года рождения. Год рождения выбирался из свежих поступлений - для контроля за текущим состоянием породы.
Почему всё же выборочные проверки? Проще и надёжнее гнать "под рентген" всех подряд. До 80-х годов прошлого века время от времени поднимался вопрос о том, наносит ли вред здоровью животных рентгеновское облучение в области половых органов. Некоторые заводчики ГДР публиковали данные о том, что увеличилось число пустых вязок и связывали это с проведением рентгенографии. В последние годы мне ничего не доводилось читать по этому вопросу: то ли подозрения не подтвердились, то ли рентгеновские аппараты стали лучше.
Но, в общем, в каждой стране и в каждой породе стратегию выбирали свою. Где-то национальные кинологические союзы (например, Швейцария, та же ГДР) объявляли национальные программы, то есть проверка на дисплазию становилась обязательной для всех пород. Где-то селекция ведется только в отдельных породах.

А У НАС?

У нас, насколько я знаю, было ещё интереснее: селекция началась в отдельно взятой породе в отдельно взятом городе. Середина 80-х, СССР, Ленинград, Клуб служебного собаководства, ньюфаундленды и руководитель породы Смирнова Галина Аркадьевна. Это ж надо было так убедить членов породной секции, чтобы на своём общем собрании они приняли подобное решение. Но одного решения мало, надо было найти место для проведения рентгена - не будешь же всех по ночам отправлять в "травму", надо было найти диагноста (1-й медицинский институт). Необыкновенно интересным человеком была Галина Аркадьевна - светлая ей память! Организация и подготовка ньюфов по службе спасения на воде - это тоже она. И уже в новой, нынешней системе организации собаководства была очень успешна со своим питомником Смигар - Смирнова Галина Аркадьевна.
И когда мы, заводчики немецких овчарок, в середине 90-х начинали вводить в Питере керунг и проверку на дисплазию для своих собак, то созданная ею система очень выручила нас. Керунг был у нас поначалу делом сугубо добровольным, но снимок на дисплазию и диагноз мы требовали. Вот тут-то и возникли проблемы. Были снимки с мутным изображением непонятно чего и странным заключением "костных изменений не обнаружено". Впрочем, по снимку такого качества с достоверностью можно было бы обнаружить только отсутствие одной из костей или, на худой конец, открытый перелом. Были и другие проблемы: немецкая овчарка, появившаяся в рентгеновском кабинете ветеринарной клиники, и желание ее владельца сделать рентгеновский снимок на дисплазию вызывали у некоторых ветеринаров потрясение и безаппеляционный диагноз еще до съемки: "Да, конечно же, у Вашей собаки дисплазия, все немецкие овчарки уроды и калеки". Владельцы овчарок нашей первой "керунговской волны" металась по рентгеновским кабинетам города в попытке получить "недисплазийный" диагноз для собак, пробегающих за велосипедом десяток-другой километров в качестве разминки и ласточкой берущих более чем метровый штакетник. Отдушиной тогда стали Ветеринарная Академия и диагносты Галины Аркадьевны Смирновой. - Мы, дивясь, разглядывали снимки, на которых мало того, что все было отчетливо видно, так и еще сам снимок был расчерчен, а в заключении фигурировали знакомые лишь по литературе понятия ("угол Норберга" и др.) Правда, диагноз был тоже типа: есть дисплазия или нет. О разделении на степени разговора не было.
Со временем система керунга, а вместе с ней и проверка на дисплазию стала обязательной для всех немецких овчарок России. Сейчас в системе РКФ немецкая овчарка - единственная порода, где ведется обязательная селекция по здоровым суставам.

ZW - НОВЫЙ ПУТЬ К СЧАСТЬЮ?

В самом начале борьбы с дисплазией кинологи были полны радужных надежд. Ведь ученые сулили, что, если у собак два поколения предков, то есть родители и деды, будут свободны от дисплазии, то здоровые суставы им гарантированы. А если заглянуть вперёд и представить себе собак, у которых до 4-го колена предки свободны от дисплазии, то аж дух захватывало от ожидаемого счастья.
Время прошло - счастья не получилось.
Сначала прогресс шёл быстро. Положение дел и там, где безжалостно выбраковывали собак с малейшим подозрением на дисплазию, и там, где требования к суставам ужесточали постепенно, улучшалось неуклонно. Но лишь до какого-то момента. Затем дело застопорилось. Создаётся впечатление, что возможности обычного подбора пар с учётом существующей системы оценки суставов исчерпаны. Даже у собак, в родословных которых только свободные от дисплазии предки, рождаются щенки, которым позже ставится диагноз "дисплазия ... степени". То есть, несмотря на строгую селекцию, от этого не застрахован никто.
Похоже, что нужно было искать новые пути к совершенству.
Принятую в FCI систему оценки тазобедренных суставов критикуют давно. Её считают слишком грубой и неточной. Многие диагносты (в том числе и в нашей, питерской, Ветакадемии) дают даже более детальную оценку: не просто A или B, а A1, A2, A3, B1, B2 и т.д. В Швейцарии действует система оценки суставов в баллах, которую затем преобразуют в привычную всем "фэцэишную". В Великобритании, которая в FCI, как известно, не входит, действует тоже своя система балльной оценки тазобедренных суставов, известная как Hipscore. Её тоже ругают: генетики за плохую классификацию, а заводчики за излишнюю суровость. Уиллис пишет, что оценку "0" (идеальный сустав) смогли получить всего лишь несколько собак, и те оказались непригодны для разведения по другим параметрам.
Предпринимаются попытки разработать более совершенную систему оценки качества сустава, сочетающуюся с оценкой дисплазии в FCI. Результат диагностики тогда может выглядеть так: "Характеристика качества сустава =0.94, свободен от дисплазии". Что означает: сустав на 94% соответствует принятому идеалу. Утверждают, что недавно появился ротвейлер (страна-производитель неизвестна) с оценкой качества сустава 1.05, то есть на 5% лучше идеала. Конечно, оценка качества сустава - это информация прежде всего для заводчиков.
Один из руководителей норвежской программы по борьбе с дисплазией сказал: "Мы слишком долго концентрировались на тёмной стороне дисплазии и забывали при этом отмечать на хорошей стороне хороших животных".
Ещё один способ отмечать не только плохих (по дисплазии), но и хороших производителей был предложен доктором Райнером Бойингом из Института животноводства и генетики домашних животных Гисенского университета Юстуса Либиха (Германия). Основа его - использование селекционного индекса.
Индексы в статистике используются давно. Это "относительные величины, количественно характеризующие динамику совокупности, состоящей из непосредственно несопоставимых величин". Нам эти индексы давно знакомы. Например, индекс цен на товары, индекс реальных доходов, индекс стоимости жизни. В животноводстве тоже существует много селекционных индексов, с их помощью пытаются охарактеризовать племенную ценность производителей.
Когда-нибудь в светлом будущем мы, возможно, будем получать генетическую карту на каждое племенное животное, проводить на компьютере расчёт комбинаций генов своей племенной суки и потенциальных женихов, выбирать для нее самого подходящего партнера, и в результате получать, быть может, вместо идеальных щенков непонятно что. Но пока что мы зачастую даже не знаем, каким образом наследуется интересующий нас признак. Только интуиция заводчика, характеристики самих производителей и анализ уже имеющихся результатов их племенного использования служат подсказкой для составления родительской пары.
Именно такой анализ, проведённый с использованием электронных баз данных на породистых собак Германии, и позволил Райнеру Бойингу рассчитать индексы, которые описывают, какое воздействие окажут гены оцениваемой собаки на проявление у её потомков определенного признака. В современной кинологической литературе такие индексы стало принято обозначать аббревиатурой ZW (от немецкого Zuchtwert - селекционный индекс). Вычисление их производится на основе электронных баз данных, содержащих сведения о собаках определённой породы.
В Германии с 1988 года ведётся расчет селекционных индексов по самым разным признакам и для разных пород. Добрались и до дисплазии. Начинали с тяжёлых собак - хофавартов, горных пиренейских собак и ротвейлеров, сейчас же, по некоторым источникам, расчёт ZW по дисплазии в Германии ведётся в 50 породах.
Как мы уже знаем, значение роли наследственных факторов в развитии дисплазии тазобедренных суставов всё время понижается. Сейчас для тех пород, где уже произведена селекционная "чистка", зачастую говорят о наследовании не самой дисплазии, а о предрасположенности к её развитию. Что это значит на практике? Это значит, что есть животные, которые очень чувствительны к ошибкам выращивания, а есть такие, которым всё нипочем. У щенков каких-то производителей с отличными суставами дисплазия фиксируется чаще, а другие щенки на редкость благополучны, несмотря на дисплазию у одного из родителей. Так как же, по какому принципу заводчику, стремящемуся минимизировать риск возникновения дисплазии у будущих щенков, подбирать производителей? Вот знать бы ещё, при каких условиях выращивались кандидаты в женихи. Ведь нормальный сустав может быть получен или при типических, средних условиях выращивания, или благодаря героическим усилиям владельца, или несмотря на "трудное детство". То есть предрасположенность у этих собак могла быть разной. Но как это вычислить?
Вот такого рода вычисления и провел д-р Бойинг. Рассмотрим ситуацию, как всегда, на примере немецких овчарок.
По результатам статистических анализов конца прошлого века роль наследственных факторов в возникновении дисплазии для популяции немецких овчарок Германии оценивается менее, чем в 20%.
В электронной базе данных SV почти полмиллиона немецких овчарок, почти 150 тысяч из них прошли проверку на дисплазию, так что материала для анализа хватало. Обработка этих уже весьма представительных данных с помощью компьютеров подтвердила, что для немецких овчарок:
- отец и мать играют одинаковую роль в возникновении дисплазии у потомства,
- суммы их рисков суммируются, то есть вероятность получения здоровых суставов выше у щенков от здоровых родителей, чем от родителей с легкой формой дисплазии,
- пол в развитиии дисплазии не играет никакой роли,
- среди собак, рожденных с июня по сентябрь, процент дисплазии чуть меньше, чем у рожденных в другие месяцы. Вес этого фактора (месяц рождения) был определён в 5%.
Таким образом, если проявление дисплазии определяется на 20% наследственными факторами, на 5% месяцем рождения, то 75% остается на долю окружающей среды, а попросту условий выращивания щенка.
Был поставлен вопрос: а можно ли ещё до вязки предсказать, каков будет риск возникновения дисплазии у планируемого помёта?
Для ответа на этот вопрос д-ром Бойингом была составлена система из 485914 уравнений, учитывающая в том числе и 236 миллиардов родственных связей между собаками. Условия выращивания в формуле не опишешь, так что пришлось ими пренебречь. Более подробное описание системы расчёта, хотя и не саму математическую модель, желающие могут посмотреть на сайте http://www.hundezucht-aktuell.de/. Для нас же интересно, что в результате расчёта был определен средний уровень по породе, который получил относительный вес в 100. Это и есть селекционный индекс(ZW). У животных с лучшими показателями значения ZW получились меньше 100, с худшими - больше 100. В целом, разброс был от 70 до 130 (min 65 - max 180). Основная масса свободных от дисплазии собак имела ZW около 85.
И что же с этим ZW делать?
Логично допустить, что собаки с ZW выше среднего уровня, то есть больше 100, как племенные, являются ухудшателями по дисплазии, а использование производителей с ZW меньше 100 поможет улучшить ситуацию.
До эры селекционных индексов для допуска в разведение важно было, чтобы собака имела разрешенную оценку суставов. А если все её однопомётники и страдали даже тяжелой формой дисплазии, то на племенном использовании собаки это не отражалось, пока не обнаруживался высокий процент дисплазии у потомков. Но даже и это не влияло на официальный допуск в разведение.
Теперь, конечно, уже можно вычеркивать из разведения ухудшателей, то есть собак с ZW > 100, ведь ZW учитывает информацию по всем родственникам: предкам, дядям, тетям, братьям, сестрам и их потомкам. Но представьте ситуацию: у собаки ZW=99. Появился у неё или у близкой родни помет с плохими оценками по дисплазии. ZW стал 102. - Всё, запрет на разведение. А тем времением проходят диагностику другие щенки - с отличными суставами. Снова ZW меньше 100. Выходит, поторопились, даём допуск. И так до бесконечности?
Гораздо практичнее будет сконцентрироваться на оценке планируемого помёта. Раз уж роли и отца, и матери в передаче потомству качества суставов одинаковы, то логично предположить, что формула:
? ZW отца + ? ZW матери
сможет выразить наши ожидания по конкретному подбору. Будет ли ZW у щенков соответствовать этой формуле? Конечно, нет. Будущее маленького щенка - это только надежды. Тут то же самое. Но, чем ниже сумма, тем больше надежда.
Во всяком случае, подборы со средней оценкой ZW больше 100 запрещены. Любой заводчик может приобрести электронные базы данных SV с оценками всех собак или же воспользоваться бесплатным справочником в Интернете на сайте SV. Туда можно обратиться и через сайт http://www.gsd-online.ru/ (это новое имя shepherd.breeder.ru ).
И каковы результаты? По каким-то породам, после периода застоя снова началось медленное улучшение ситуации, по другим - особого восхищения не заметно. Сам же Бойинг как-то сказал, что в разведении селекционные индексы играют ту же роль, как в диете подсчет калорий. Они дают подсказку для выбора, но сам выбор - за заводчиком.
Но всё же ожидать избавления от дисплазии при применении селекционных индексов не приходится. Не забывайте, это попытка воздействия всего лишь на 20% риска (напоминаю, мы говорим о немецких овчарках Германии) возникновения дисплазии.
И раз уж мы так бьёмся за возможность повлиять на 20%-ную часть риска возникновения дисплазии, то совсем негоже будет оставить без внимания те 75 %, которые определяются условиями внешней среды, в том числе и выращивания - питания, содержания, тренинга.
Это, как заметил Бойинг, уже не задача заводчика, а проблемы тех, кто кормит собаку, содержит ее, тренирует, дает советы по выращиванию.
Позвольте мне уточнить: да, заводчик "создал" щенка, и влияние его на наследственную долю закончилось. Но именно хороший заводчик и является тем самым советником по кормлению, содержанию и выращиванию собаки, который может помочь владельцу в том, чтобы он благополучно справился со "своими" 75%.
Ведь второй и гораздо более весомый путь в получении здоровых суставов собаки - это создать оптимальные, благоприятные условия выращивания.

ТАК ЧТО ЖЕ ДЕЛАТЬ?

Напомню ещё раз: здоровые суставы - это не единственное, ради чего мы разводим собак. Но здесь мы говорим о суставах, поэтому и благоприятность условий выращивания будем оценивать именно по их воздействию на сустав.
Когда растущий щенок очень быстро набирает вес, его еще неокрепшие суставы начинают деформироваться под избыточной нагрузкой. Это признают все. Но как влияют на формирование суставов активные физические нагрузки? Об их роли когда-то говорили много, сейчас же значение их все еще признается, но вяло. Да, мол, избыточные, слишком высокие нагрузки на неокрепший сустав ведут к его травмированию и, как следствие, к дисплазии. Тем не менее, щенок должен иметь столько движения, сколько он хочет, и, конечно же, достаточно игр и беготни со сверстниками.
Одно время много говорили об ограничении движения, и даже ставились опыты по выращиванию щенят в небольших клетках. Это якобы предотвращало развитие дисплазии. Так это или нет, не знаю - с темпераментными немецкими овчарками проверить это на практике сложно. Но вот соседского щенка-бордоса в свое время лишили прогулок и посадили под строгий "домашний арест" из-за очень серьезных проблем с задними конечностями. Как уж у него после обстояли дела с дисплазией, не знаю, порода в этом отношении проблемная. Но ходить на своих ногах он потом мог и даже дошел на них до звания Интерчемпиона - значит, вырос не хуже других.
Почему сейчас довольно скептически относятся к ограничению движения? Потому что это палка о двух концах.
С одной стороны, двигательные нагрузки, особенно прыжки, травмируют неокрепший сустав. С другой - движение помогает развитию мускулатуры, которая сустав защищает.
Сейчас рекомендация учеными мужами дается достаточно общая: следует избегать избыточных физических нагрузок в процессе роста. Пусть щенок играет со сверстниками, двигается столько, сколько захочет, но не заставляйте его излишне напрягаться, не гоняйте до упаду. Еще в прежние времена старые опытные собаководы, которые слыхом не слыхали о дисплазии и ее проблемах, говаривали: "дайте щенку сначала вырасти, а после тренируйте, сколько влезет". Немецкие заводчики немецких овчарок говорят, что начинают выставочный тренинг собак только после того, как сделан рентгеновский снимок на дисплазию. И не только потому, что не хотят тратить усилия на неперспективную собаку.
Собакам вроде немецкой овчарки стоит поберечь суставы примерно до года, мелким собачкам - до 6-8 месяцев, ну а уж крупным тяжелым породам, пожалуй, и до двух лет. "Поберечь" значит: не гонять за велосипедом, не заниматься буксировкой, не прыгать барьеры, за исключением чисто символических, сантиметров 20-30, и даже не гулять до упаду.
Среди ездовых лаек есть на редкость благополучная по дисплазии порода - это сибирские хаски. Собачки небольшие, лёгкие, очень подвижные, созданные для бега. Но заводчики и этих собак предупреждают: "Щенков нужно осторожно нагружать физическими нагрузками до окончательного повзросления, им требуются только игры и короткие прогулки. Продолжительные игры не могут быть частью щенячьего режима, пока их длинные кости растут".
О периоде роста длинных костей стоит сказать особо. Для большинства пород наиболее интенсивный рост идет в возрасте от 2 до 4-х месяцев, затем он продолжается менее бурно до 5-6 месяцев. Трубчатые кости конечностей растут особенно быстро. К 4-м месяцам обхват пясти у щенка почти такой же, как у взрослой собаки. И в длину кости тоже могут вырасти буквально за несколько дней. А связки и мускулатура на какое-то время отстанут и не смогут должным образом управляться с внезапно выросшими костями. Щенок в это время может просто путаться в своих "новых" задних ногах. На дилетантов это производит устрашающее впечатление, а "знатоки" из их числа в подобных случаях безапелляционно ставят диагноз, раньше это был рахит, сейчас, чуть что, говорят "дисплазия". И дают жутковатый совет: "гоняйте щенка побольше". А щенка-то как раз в этот период, пока мускулатура, защищающая сустав, не догнала в росте вытянувшиеся кости, надо не нагружать, а, наоборот, поберечь, обеспечив ему умеренные игры и короткие прогулки. В очень тяжелых случаях, вроде того случая со щенком бордоского дога, о котором я рассказывала, может быть, стоит посоветовать и массаж мускулатуры задних конечностей. В это время владелец должен быть особенно внимателен, потому что суставы очень чувствительны и легко травмируются. Американская заводчица Джеки Эйтон в статье, посвящённой всё той же дисплазии (см. сайт www.gsd-online.ru), даже говорит, что если изменения видны только в одном суставе, то причина, скорее всего, не в дисплазии, а раннем артрите из-за травмы, который диагностируется как дисплазия. Причём травма может быть очень незначительной, но все в тот же опасный период быстрого роста, роста длинных костей.
Признаюсь, это первая из встреченных мной статей, где автор касается вопроса, почему же у собаки могут сформироваться разные по качеству суставы. Я же, когда видела, как на прогулке темпераментный щенок "тащит" на поводке хозяина, тоже задумывалась: вот бы вместе с рентгеновскими снимками посылать и небольшую анкету. Как выращивался щенок, тянул ли он на прогулках поводок или же преобладали "бесповодочные" условия? И проанализировать, в каких условиях сформировались одинаковые, а в каких разные по качеству суставы. Во всяком случае, обучение хождению "рядом" традиционным способом, то есть рывком поводка, считаю опасным для суставов щенка и подростка. Это создает в момент рывка те самые избыточные нагрузки на суставы, от которых дружно предостерегают все.
Но, как правило, маленькому щенку любящие хозяева стремятся создать счастливое детство, излишней дрессировкой не обременяют. Вот только вождения на поводке в большом городе не избежать, - что ж, используйте игровые методики обучения.
Каждый стремится дать лакомый кусочек, накормить четвероногое чадо получше, и все понимают, что кормление - одна из важнейших составляющих выращивания щенка. Это так. А уж "с точки зрения дисплазии" - самый важная. Часто новички спрашивают: "Что хуже - толстый щенок или тощий?" Обычный ответ: "Нормальный". А как на самом деле?
Если уж ученые мужи догадались проводить опыты по выращиванию щенят в клетках, то разделить подопытных на три группы и выращивать толстеньких, среднеупитанных и тощеньких щенят (при избыточном, нормальном питании и при недокорме) и подавно.
Опыты показали, что условия, ведущие к формированию дисплазии, жестокими назовет не каждый.
У моей приятельницы был случай, когда подрастающие щенята оказались в еде на редкость привередливыми. Она бегала за ними с миской, а они - от неё. Выглядели при том прекрасно. Секрет открылся случайно - в коридоре стоял запасной мешок с кормом. Щенята прогрызли в мешке дырочку и устроили себе "автокормушку" - ели, сколько хотели и когда хотели. А по результатам опытов, такой вид кормления щенка, до отвала и по первому требованию, оказался самым опасным с точки зрения развития дисплазии. Щенки же, получающие рацион, урезанный всего на 1/4 по сравнению с рационом "автокормушки", страдают дисплазией в 2-3 раза меньше, чем те, кого добрые хозяева кормят от души.
Еще лучше суставы у тех, кто выращивается на недокорме.
Получается, как выразился один из членов Швейцарской комиссии по ДТБС д-р Флюкингер, "собака с предрасположенностью к дисплазии может прямо-таки наесть себе артроз тазобедренных суставов". А этот артроз и будет диагностирован как дисплазия.
Стоит вспомнить, что когда-то и наши и не наши предки не кормили собак досыта, все жили в условиях "пищевого дефицита".
А можно ли с помощью каких-то добавок предотвратить развитие дисплазии? Неужели в арсенале современной фармакологии не найдется какой-нибудь чудодейственной таблетки, чтобы суставы стали покрепче, чтобы избежать этой напасти?
Одно время посчитали, что можно. Витамин С был объявлен этим чудесным средством.
Сторонники витамина С рассматривали дисплазию как одну из форм субклинической цинги. И заводчики во всем мире принялись пичкать щенят "аскорбинкой". И я тоже - что ж я, хуже других, что ли? - и сама кормила, и владельцам щенят советовала. - Нормальные суставы выросли. Но и у тех, кто благополучно избежал моих советов, тоже норма. К большим дозам витамина С отношение в ученом мире вообще крайне осторожное. Так что, где истина, неизвестно. Тот же д-р Флюкингер пишет: "Прежняя надежда, что витамин С может предупредить дисплазию тазобедренного сустава, оказалась заблуждением". И среди существующих кормовых добавок он тоже не видит чудесного средства от дисплазии. К хондроитинсульфату он относится скептически, к глюкозаминсульфату - получше, хотя и упоминает, что действует он не на всех собак и не на всех одинаково хорошо.
Действие чего он признает безоговорочно, так это кальция - избыток его однозначно способствует развитию дисплазии! Равно как и слишком быстрая прибавка в весе в первые 10 месяцев жизни. То есть слишком обильное, слишком калорийное питание приносит только вред. В полном соответствии с крылатым выражением ревизоров прежних лет - "излишек хуже недостачи"!

"НАТУРАЛЬНОЕ" ПИТАНИЕ ИЛИ ГОТОВЫЕ КОРМА?

Итак, кормить щенка надо малообъемно и не слишком калорийно. Но чем кормить? Готовыми кормами или же домашней свежеприготовленной пищей? Последнюю называют ещё "натуральным" питанием. Что такое натуральное питание для дикого животного, например, волка, понятно. А что же считать натуральным питанием для домашней собаки? Для крошечного щенка - это, конечно, материнское молоко. А затем?
Думаю, правильнее говорить о свежеприготовленной пище и о готовых кормах.
Так что же лучше?
Вот недавно на одном из собраний в породном клубе ветврач читал лекцию о пользе экологически чистых продуктов (кто же спорит, но где их взять, да еще на мою зарплату?) и о том, чем плохи готовые корма. Через час его сменил другой ветврач и стал рассказывать о пользе готовых кормов. Так что мнения бытуют разные и среди профессионалов. Но мы будем говорить о влиянии питания только на дисплазию.
Корма для собак на Западе продавались еще в XIX веке. С ростом городов и развитием собаководства продажи кормов растут неуклонно. Это считается одним из самых выгодных видов бизнеса. Собак много, все они имеют вредную привычку есть каждый день, хозяева же своих питомцев любят и готовы в пределах своих возможностей пойти на многое, чтобы, с одной стороны, любимой собачке было хорошо, а с другой - не стоять часами у плиты, а потратить это время на прогулку с той же собачкой. Поэтому рынок готовых кормов существует и обречен на процветание. Приходится признать, что в современном обществе от этого не уйти.
Чтобы обойти конкурентов, ведущие производители занимаются исследованиями проблем питания (поговаривают, что благодаря этому пищеварение собак изучено лучше, чем человеческое), стремятся откликнуться на возникающие в собачьем мире проблемы, в том числе и проблемы дисплазии. Быстрое, скачкообразное улучшение статистики по дисплазии в породах, подключившихся к антидисплазийному движению в последние двадцать лет, связывают и с целенаправленным улучшением состава кормов, пришедшимся на это время. Ведь в развитых странах готовые корма получают 70-80% собак. Моя подруга, работающая грумером в США, заверяет, что среди ее клиентов много собак, которым 12-14-16 лет. "Собаки и люди живут здесь долго и благополучно", - пишет она. Такая вот наблюдается идиллическая картина.
Но именно здесь разразился скандал! Да еще какой! Наши поиски виноватого в дисплазии (рентгенолог, диагност, заводчик или все-таки владелец) кажутся детским лепетом рядом со страстями, забушевавшими в сфере кормления собак после публикации в Германии нескольких работ Марка Торела и Клауса Дитера Каммерера. "Ошибка тысячелетия ветеринарной медицины" - это название одной из книг Каммерера.
По Торелу и Каммереру дисплазия вовсе не является наследственно обусловленным заболеванием, а, если исключить инфекции и травмы, то вызывается нарушением обмена веществ. Причина же всему - неправильное питание, причём использование готовых кормов, по их мнению, не помогает предотвратить дисплазию, а, наоборот, способствует её развитию. Более подробно можно прочитать в Интернете (www.zwingeranneswinnie.de и др.).
Многие упреки выглядят серьезно, и они нам уже знакомы, мы их часто слышим и в адрес производителей продуктов для человеческого питания. Тут и генномодифицированная соя, и передозировка минеральных веществ и витаминов. И то, что использование веществ, делающих корм аппетитнее и привлекательнее, ведет к перееданию, со всеми вытекающими последствиями.
Тем не менее, и эти авторы признают, что дисплазия вызывается многими факторами, в числе которых называются гипервитаминозы A+D3+K3, рахит (недостаток кальция и витамина D3), цинга (недостаток витамина C), ожирение вследствие перекорма, гормональные нарушения, заболевания костей и хрящей в результате неправильного кормления, избыточные нагрузки при движении.
Что я на это скажу? Того, кто пережил шок разоблачений Александра Невзорова в его "600 секундах" о том, чем же нас, людей, кормят; того, кто ел колбасу, которая при жарке распадалась прямо на сковородке на непонятные жидкие составляющие; того, кто внимательно читает анализы общества потребителей о том, чем нас сейчас порой кормят, - того скорее удивит, если какой-то готовый продукт вдруг окажется безупречным во всех отношениях.
Но если говорить серьезно, то скажу, что при моей склонности к диссидентству, одиночки, поднявшиеся на неравную битву против промышленных гигантов, не могут не вызывать симпатии. Очень возможно, что многие их упреки в адрес производителей готовых кормов справедливы. И то, что сейчас проблемы вытащены на поверхность и обсуждаются, и, чтобы не терять потребителей, устраняются (это видно уже по изменению калорийности и состава кормов для щенков и подростков разных весовых категорий), - это хорошо. Ведь, думаю, и благодаря этому мои собаки едят теперь более качественные корма.
Что лично я думаю по поводу отрицательного влияния готовых кормов на развитие дисплазии?
Готовые корма мы, россияне, в отличие от западных собаководов, используем лишь чуть больше 10 лет. До этого СССР представлял собой этакий заповедник "натурального" питания. Галина Аркадьевна Смирнова, отчитываясь на племенной комиссии Ленинградского клуба служебного собаководства о результатах проверок ньюфаундлендов на дисплазию (напоминаю, середина 80-х), говорила: мы имеем по породе ту же статистику, что и на Западе. (Может быть, у кого-то сохранились эти материалы?)
Кормили мы собак исключительно приготовленной дома пищей. И что в результате имели? А вот что:
- передозировку витаминов А+D,
- передозировку кальция либо его нехватку,
- ожирение,
- чрезмерно большие объемы пищи, чтобы обеспечить собаку необходимыми питательными веществами,
- нехватку всех остальных витаминов (C, вся группа B) и микроэлементов.
А это всё, по тому же Каммереру, причины дисплазии.
Рахит был серьезнейшей проблемой при выращивании собак всех пород тяжелее эрделя.
Эта проблема ушла только с применением готовых кормов, во всяком случае, хороших.
Правильное питание, разумеется, можно обеспечить собаке любым образом: как качественными готовыми кормами, так и приготовленной дома пищей. В последнем случае Вы, конечно, знаете, что кладете в кастрюлю, но о содержании витаминов и минеральных веществ в используемых продуктах можно только догадываться. Тому, кто хочет кормить щенка домашней пищей и ответственно относится к его выращиванию, стоит хотя бы раз взять в руки справочник по диетологии собаки, справочник по составу продуктов питания и просчитать, насколько же приготовленная им пища покрывает потребности растущего щенка. Сделать это нужно, чтобы правильно подобрать и состав продуктов, и необходимые витаминные и минеральные подкормки, потому что одной только приготовленной дома пищи недостаточно для современной собаки. Последствия ошибок в кормлении, сделанных в течение первого года её жизни, могут быть печальными.
Так что выбор рациона для своей собаки каждый - и заводчик, и владелец - должен делать сам, понимая всю роль правильного кормления в формировании здоровых суставов.

В ЗАКЛЮЧЕНИЕ

Закончить же то, что мы с вами так долго обсуждали, хочу словами Малькольма Б. Уиллиса, теми, которыми он начал главу, посвященную дисплазии тазобедренного сустава, в своей знаменитой "Генетике собак":
"HD - не особо важное заболевание у собак. Наряду с ним имеется масса других пороков развития, которые хотя и не столь сильно распространены, но оказывают гораздо более сильное влияние на породу в целом и собаку в частности... Заводчики принимают эти проблемы такими, какие они есть, и в большинстве случаев даже не пытаются избавиться от них, впрочем, как и от HD".
Я хотела было обидеться - от лица заводчиков. Но вовремя вспомнила, что разводим-то мы не только немецких овчарок, но и другие породы тоже. Так что пусть каждый выбирает сам, бороться ли ему с дисплазией и как.

Использованные источники
Терехов П.Ф. Дисплазия тазобедренного сустава у собак. В сборнике "Клуб служебного собаководства". Выпуск 1981 г. М.: Патриот, 1981.
Митин В.Н. Тазобедренная дисплазия у собак. В сборнике "Клуб служебного собаководства". Выпуск 1982 г. М.: Патриот, 1982.
Опаринская З.С. Порок строения тазобедренных суставов собак. Способы борьбы с ним в организациях собаководства зарубежных стран. В сборнике "Клуб служебного собаководства". Выпуск 1990 г. М.: Патриот, 1990.
Куретов С. Дисплазия тазобедренного сустава. Журнал "Немецкая овчарка"
Уиллис М.Б. Генетика собак. М.: ЗАО" Изд-во "Центрполиграфмаш", 2000.
Материалы сайтов www.offa.org, www.hundezucht-aktuell.de, www.tornados.stl.ru, www.leerburg.com, www.schaeferhunde.de, www.rkf.ru, www.gsd-online.ru, www.zwingeranneswinnie.de и др.
Schlaaf S. Die Hueftgelenkdysplasie des Hundes - ihre Verbreitung und Bekaempfung in den Jahren 1968 bis 1979. Der Hund, DDR, 2,1980.
Schlaaf S. Die Hueftgelenkdysplasie des Hundes, Der Hund, DDR, 2,1980.
Schlaaf S. Die Hueftgelenkdysplasie des Hundes, Der Hund, DDR, 2,1980.
Другие материалы журнала Der Hund, 1965-1990
Брасс В. Наше положение в борьбе дисплазией тазобедренного сустава. SV-Zeitung, 1977
Материалы SV-Zeitung, 1990-1998

Chat
1 April 2026
19:13 Sozidatel' (Соziдатель): Где что крутиться медленно? У меня сейчас страница открылась за 0.5 секунды. Медленовато конечно.
19:15 Sozidatel' (Соziдатель): А вообще, у вас там из РФ вообще теперь черт знает ногу сломаешь что с интернетом. Сервер-то в Германии. Поэтому Ньюфы стоит сравнивать с другими сервисами не из РФ.
3 April 2026
19:23 YEl'vira (Эльвира): несколько минут крутится
19:23 YEl'vira (Эльвира): загрузка медленная, а здесь сообщения уходят моментально
19:36 YEl'vira (Эльвира): новье загружалось 8 минут 50 сек.
10 April 2026
12:22 YEl'vira (Эльвира): От нас ушла Галина Бондаренко, Мадам Габо... Галя умерла 25.08.2025. Мы переписывались, осенью она пропала, а в декабре с её страницы написал сын, что мамы нет.
12 April 2026
22:17 Alla: https://newfs.info/myroom/letters/ выдаёт ошибку
13 April 2026
08:16 Sozidatel' (Соziдатель): Alla, спасибо, поправил
16 April 2026
22:29 Nadejda E (Надежда Е): Будем жить?
20 April 2026
19:19 Sozidatel' (Соziдатель): Ну, если люди начнут возвращаться, то и сайт будем развивать дальше. Починки уж все сделаем :)
21 April 2026
18:14 Healena: Урааа! Мы хотим возвращаться!
24 April 2026
11:36 lesika: Я вот Галю что-то вспомнила , олененок в ее исполнении был бесподобен
25 April 2026
14:27 YEl'vira (Эльвира): Она вообще была бесподобна... очень жаль
15:52 DarSveZy: Спасибо , Евгений, за возможность регистрации нового форумчанина Александры Маруцкой, питомник ПаДеДе )
26 April 2026
10:31 night-73: Надо-надо сайт восстанавливать. Мы все хотим вернуться, да и новых, желающих зарегистрироваться много.
Статистика сайта
0.551 s, 131 q
:
© 2006 Newfs.ru
// Editor: Kirill Ermakov
// Developer: Eugene Nenaglyadov
Feedback form
Правила Сайта